To the navigation Skip to main content To the footer
Skibus
in Val di Fiemme

Skibus

in Val di Fiemme

Dojazd skibusami na stok.

Gęsta sieć połączeń pomiędzy wszystkimi ośrodkami narciarskimi i miasteczkami w dolinie przez cały sezon zimowy. Jadąc na urlop, możesz zapomnieć o samochodzie! DARMOWA usługa dla posiadaczy karty Fiemme Cembra Guest Card w Trentino Guest Card.

Ceny dla osób, które nie posiadają karty Fiemme Cembra Guest Card:

  • 1 dzień: euro 2,50 
  • 3 dni: euro 5,00
  • 7 dni: euro 10,00
  •  Karnet sezonowy: euro 30,00 (w przypadku kontroli należy okazać dokument tożsamości)
  • Dzieci, które nie ukończyły 12 lat, bez opłat

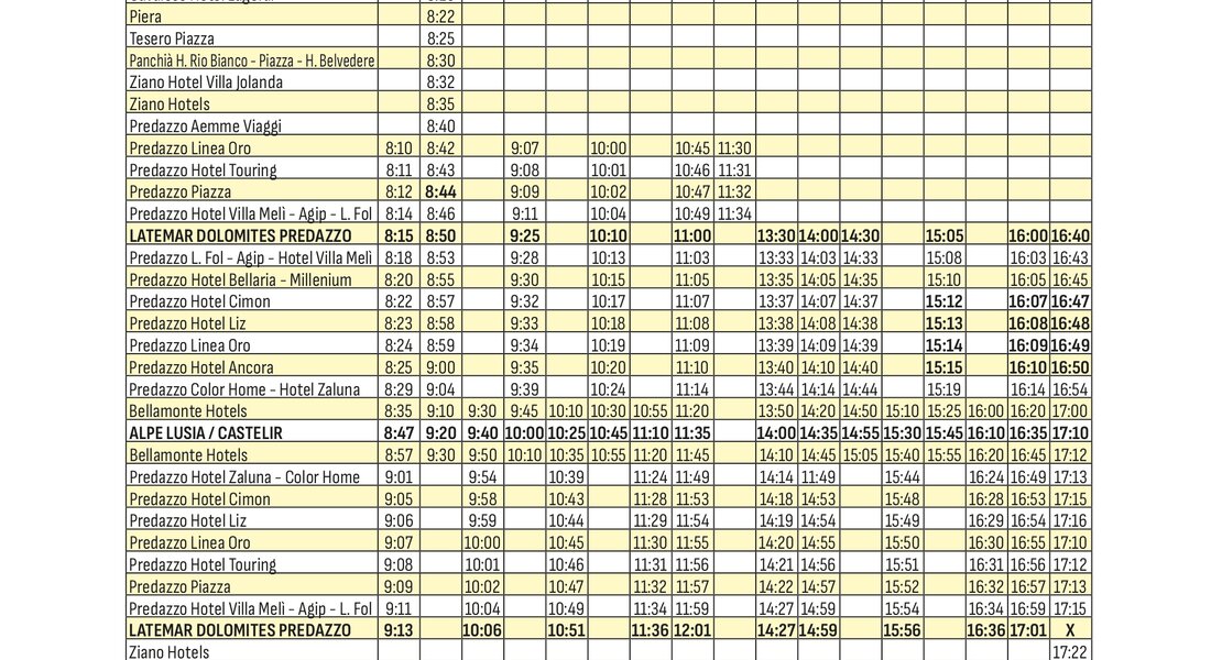
Ski bus service for the 2025/2026 winter season
Pre-season: 5–20 December with 7 routes
Season: 21 December–15 March with 13 routes
End of season: 16 March–6 April 2026 with 7 routes

SKIBUS SERVICE (5 - 20 DECEMBER 2025)

SKI BUS SERVICE (21 DECEMBER 2025 - 15 MARCH 2026)

FREE service for Fiemme Cembra Guest Card and Trentino Guest Card.

Prices if you don't have the Fiemme Cembra Guest Card:

  • 1 day: euro 2,50 
  • 3 days: euro 5,00
  • 7 days: euro 10,00
  • Seasonal - with name on it: euro 30,00 (an ID may be required on board)
  • Kids under 12 years FREE, ticket-free
     

WHERE CAN I BUY TICKETS?

  • TOURIST OFFICES: Predazzo, Cavalese, Cembra (whole season), Bellamonte, Tesero (26.12.2025-06.01.2026), Ziano di Fiemme (26.12.25-04.01.26)
  • SKIPASS OFFICES: Bellamonte Castelir, Latemar Predazzo, Latemar Pampeago, Cavalese Cermis, Cavalese valleyfloor

 

YOU MAY BE INTERESTED IN
© APT Fiemme e Cembra - Gaia Panozzo
Cross-Country Skiing
Read Cross-Country Skiing
How to get there
Val di Fiemme and Val di Cembra
Read How to get there